Bộ GD-ĐT công bố bảng bách phân vị điểm thi 7 tổ hợp xét tuyển phổ biến

Sáng 22-7, Bộ Giáo dục và Đào tạo (GD-ĐT) công bố bảng bách phân vị tổng điểm và phổ điểm đối sánh của một số tổ hợp xét tuyển đại học phổ biến dựa trên kết quả kỳ thi tốt nghiệp THPT năm 2025, kết hợp với dữ liệu các năm trước và điểm học tập bậc THPT.

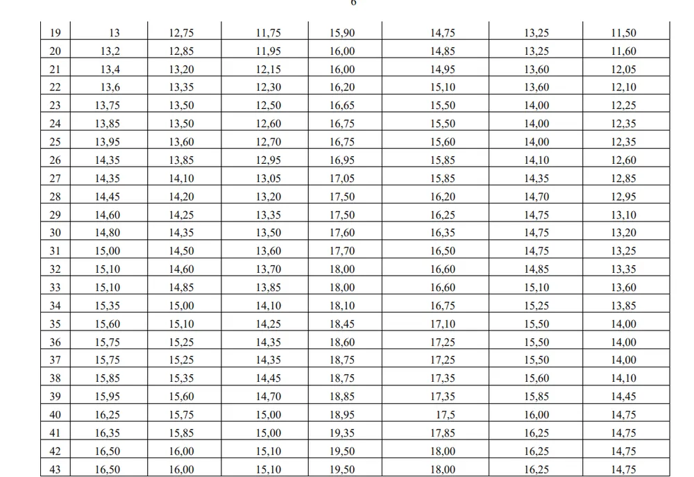
Thí sinh có thể tham khảo bảng bách phân vị tổng điểm một số tổ hợp phổ biến
Thí sinh có thể tham khảo bảng bách phân vị tổng điểm một số tổ hợp phổ biến

Theo đó, Bộ GD-ĐT cung cấp phổ điểm và biểu đồ đối sánh điểm của 7 tổ hợp thường được sử dụng trong xét tuyển đại học, gồm: A00 (Toán, Lý, Hóa), A01 (Toán, Lý, Anh), B00 (Toán, Hóa, Sinh), C00 (Văn, Sử, Địa), D01 (Toán, Văn, Anh), C01 (Toán, Lý, Văn), D07 (Toán, Hóa, Anh).

Bảng bách phân vị phản ánh tương quan giữa tổng điểm thi tốt nghiệp THPT và điểm trung bình học tập ở bậc THPT. Đây là căn cứ để các cơ sở đào tạo đại học xác định chênh lệch điểm giữa các tổ hợp xét tuyển (nếu có), từ đó xây dựng phương án quy đổi điểm chuẩn tương đương giữa các tổ hợp, theo đúng hướng dẫn của Bộ GD-ĐT.

Cũng theo công bố, điểm số giữa các tổ hợp có sự chênh lệch rõ rệt. Ví dụ, 28,75 điểm tổ hợp A00 được đánh giá tương đương với 27,5 điểm tổ hợp D01. Điều này giúp thí sinh có thêm cơ sở tham khảo trong quá trình đăng ký nguyện vọng và lựa chọn tổ hợp xét tuyển phù hợp.

Ngoài dữ liệu năm 2025, Bộ GD-ĐT còn cung cấp các biểu đồ đối sánh từ năm 2023 và 2024, đồng thời hiệu chuẩn bảng bách phân vị tổng điểm để tăng tính chính xác trong phân tích, so sánh.

Bộ GD-ĐT đề nghị các cơ sở đào tạo sử dụng các dữ liệu đối sánh này làm căn cứ xây dựng quy đổi điểm trúng tuyển giữa các tổ hợp xét tuyển. Việc này cần được công bố công khai, minh bạch và giải thích rõ cho thí sinh, tránh gây hiểu nhầm hoặc áp dụng sai lệch trong quá trình xét tuyển.

Cụ thể như sau:

t1.png
t2.png
BD 3.png
l1.png
l2.png
l3.png
l4.png
l5.png
n1.png
n2.png

Để triển khai hiệu quả, công bằng và đúng kế hoạch tuyển sinh năm 2025, Bộ GD-ĐT đề nghị các cơ sở đào tạo chủ động tham khảo dữ liệu đối sánh phổ điểm, bảng bách phân vị tổng điểm một số tổ hợp truyền thống sử dụng kết quả kỳ thi tốt nghiệp THPT sau khi được hiệu chuẩn, kết hợp với hướng dẫn tuyển sinh và đặc thù đào tạo của từng ngành/trường để xây dựng phương án quy đổi điểm trúng tuyển giữa các tổ hợp xét tuyển.

Trong trường hợp sử dụng kết quả kỳ thi riêng (đánh giá năng lực, đánh giá tư duy...) hoặc các phương thức tuyển sinh khác, các cơ sở đào tạo cần căn cứ vào bảng bách phân vị do đơn vị tổ chức kỳ thi riêng công bố. Từ đó, xác định tổ hợp gốc – thường là tổ hợp có hệ số tương quan cao nhất với kết quả kỳ thi riêng – để làm cơ sở quy đổi. Không áp dụng quy đổi theo phương thức bắc cầu giữa các tổ hợp.

Bộ GD-ĐT yêu cầu các trường thông báo công khai quy đổi điểm, giải thích rõ cho thí sinh và tuân thủ nghiêm túc trong quá trình xét tuyển. Ví dụ: nếu điểm trúng tuyển ngành X theo kết quả thi THPT tổ hợp A00 (tổ hợp gốc) là 25/30 điểm, thì tương ứng với điểm kỳ thi riêng là 75/120 điểm. Nếu tổ hợp B00 có điểm chuẩn là 24/30, không sử dụng mức điểm này để quy đổi với kỳ thi riêng.

Trường hợp xét tuyển kết hợp với kết quả học tập THPT, cơ sở đào tạo cần căn cứ dữ liệu thống kê về tương quan giữa điểm thi tốt nghiệp THPT và điểm trung bình học tập từng môn (năm 2025) do Bộ GD-ĐT cung cấp để xây dựng và công bố ngưỡng đầu vào phù hợp với từng chương trình đào tạo, nhóm ngành hoặc lĩnh vực.

Đối với các trường có tổ chức kỳ thi độc lập theo bài thi tổng hợp, cần xác định rõ các tổ hợp môn thi tốt nghiệp THPT phù hợp với bài thi riêng, lựa chọn tổ hợp gốc thích hợp nhất để làm cơ sở quy đổi. Đồng thời, Bộ GD-ĐT khuyến khích các trường chia sẻ phương pháp quy đổi để các cơ sở đào tạo khác tham khảo, áp dụng thống nhất.

Bộ GD-ĐT cũng công bố đầu mối liên hệ để hỗ trợ các trường xử lý các tình huống phát sinh trong quá trình triển khai.

Hiện một số trường đã chủ động công bố bảng bách phân vị và mức chênh lệch điểm giữa các tổ hợp. Đơn cử như Đại học Quốc gia Hà Nội: thí sinh đạt 27,75 điểm tổ hợp D01 được quy đổi tương đương 30 điểm tổ hợp A00. Đại học Bách khoa Hà Nội cũng áp dụng cộng 0,5 điểm cho thí sinh xét tuyển theo tổ hợp D01 so với các tổ hợp còn lại.

Tin cùng chuyên mục