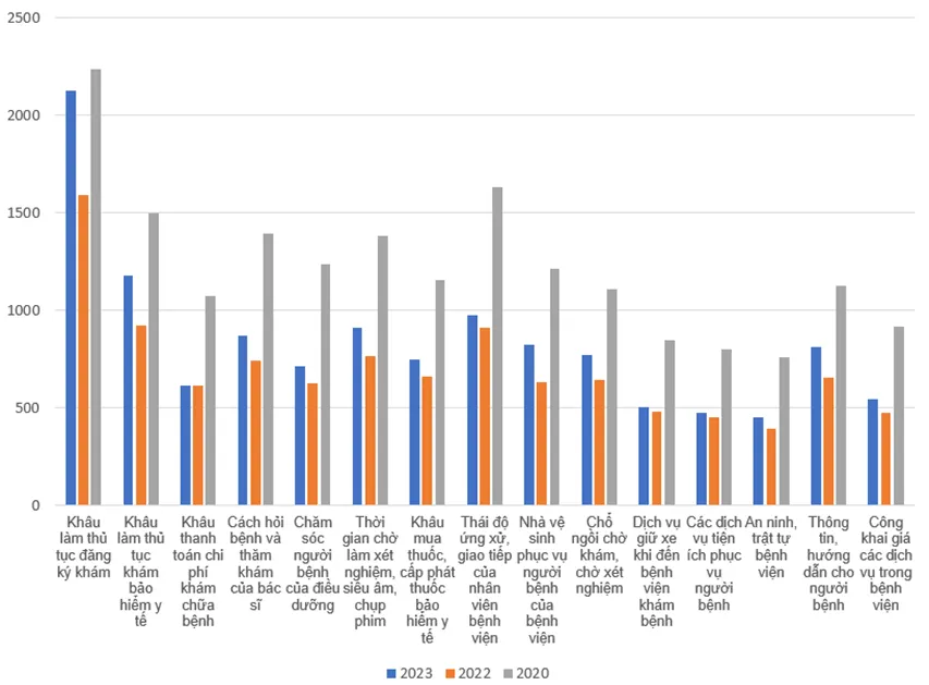
Ngày 14-1, Sở Y tế TPHCM công bố kết quả khảo sát sự không hài lòng của người bệnh tại các khoa khám bệnh thuộc bệnh viện công lập trên địa bàn TPHCM năm 2023. Kết quả từ hệ thống máy khảo sát tự động đặt tại các bệnh viện công lập năm 2023 đã ghi nhận số lượt người bệnh không hài lòng khi đi khám chữa bệnh là 12.522 lượt, tăng 18,46% so với năm 2022 (10.571 lượt), nhưng giảm 31,91% so với năm 2020 (18.395 lượt).
Theo Sở Y tế TPHCM, số lượt không hài lòng của người bệnh khi đến khám tại các bệnh viện công lập năm 2023 tăng so với năm 2022 và chủ yếu tăng ở 6 tháng đầu năm 2023 (6 tháng cuối năm 2023 giảm 2,17% so với cùng kỳ năm 2022).
 
 
 Trong đó, các khâu không hài lòng nhiều nhất, gồm: khâu làm thủ tục đăng ký khám bệnh (2.125 lượt) tăng 33,56%; khâu làm thủ tục khám bảo hiểm y tế (1.179 lượt) tăng 27,46%; nhà vệ sinh phục vụ người bệnh của bệnh viện (631 lượt) tăng 30,27%; thông tin hướng dẫn cho người bệnh (657 lượt) tăng 23,44%; chỗ ngồi chờ khám, chờ xét nghiệm (641 lượt) tăng 20,12%.
Trước thực trạng này, Sở Y tế đề nghị các bệnh viện tiếp tục phát huy, duy trì khảo sát ý kiến không hài lòng của người bệnh tại các khoa khám bệnh nhằm cải tiến chất lượng, nâng cao hài lòng người bệnh và là căn cứ đánh giá hoàn thành nhiệm vụ của các bệnh viện hằng năm.
 
 
 Bên cạnh đó, yêu cầu các bệnh viện có giải pháp cải tiến hiệu quả hơn để giảm sự không hài lòng của người dân nhất là ở các khâu làm thủ tục đăng ký khám, làm thủ tục khám bảo hiểm y tế; cách hỏi bệnh và thăm khám của bác sĩ; thái độ ứng xử, giao tiếp của nhân viên bệnh viện; thời gian chờ xét nghiệm, siêu âm, chụp phim.
 
 
 
 
 
 
 
 
 
 
 
 
 
 
 
 
 
 
 
 
 
 
 
 
 
 
 
 
 
 
 
 
 
 
 
 
 
 
 
 
 
 
 
 
 
